Lompat ke konten Lompat ke sidebar Lompat ke footer

Contoh Proposal Bantuan Masjid : Proposal Permohonan Dana Pembangunan Musholla Youtube - Contoh proposal bantuan masjid · contoh proposal bantuan dana pembangunan masjid · contoh proposal bantuan alat · contoh proposal bantuan ape paud .

Terkait bantuan masjid dan musala. (nama tempat ibadah / tempat pendidikan keagamaan). Bantuan operasional yang akan diberikan sebesar rp20 . Kemenag menyediakan anggaran sebesar rp 6,9 m. Contoh proposal bantuan masjid · contoh proposal bantuan dana pembangunan masjid · contoh proposal bantuan alat · contoh proposal bantuan ape paud .

(nama tempat ibadah / tempat pendidikan keagamaan). Cover Proposal Pembangunan Masjid Keren Corel Draw Imago Media Home Of Creativity
Cover Proposal Pembangunan Masjid Keren Corel Draw Imago Media Home Of Creativity from 1.bp.blogspot.com
Contoh proposal bantuan masjid · contoh proposal bantuan dana pembangunan masjid · contoh proposal bantuan alat · contoh proposal bantuan ape paud . Prosesnya mudah, tidak perlu proposal yang sulit dan . Terkait bantuan masjid dan mushala, kemenag menyediakan anggaran sebesar rp 6,9 m. Bantuan operasional yang akan diberikan sebesar rp20 . Prosesnya mudah, tidak perlu proposal yang sulit dan . Kemenag menyediakan anggaran sebesar rp 6,9 m. Proposal permohonan bantuan pembangunan masjid babussalam . Terkait bantuan masjid dan musala.

Setelah anda mengunduh file contoh proposal pengajuan bantuan operasional masjid ke kemenag ini .

Terkait bantuan masjid dan musala. 1 proposal pembangunan masjid baitussalaam2 3 pendahuluan latar belakang ~ al baqarah : Contoh proposal bantuan masjid · contoh proposal bantuan dana pembangunan masjid · contoh proposal bantuan alat · contoh proposal bantuan ape paud . (nama tempat ibadah / tempat pendidikan keagamaan). Prosesnya mudah, tidak perlu proposal yang sulit dan . Kemenag menyediakan anggaran sebesar rp 6,9 m. Prosesnya mudah, tidak perlu proposal yang sulit dan . Id, jakarta — kementerian agama (kemenag) memberikan bantuan operasional untuk masjid dan mushola dengan total rp 6,9 miliar. Bantuan operasional yang akan diberikan sebesar rp20 . Terkait bantuan masjid dan mushala, kemenag menyediakan anggaran sebesar rp 6,9 m. Urusan kenyataannya berbeda ya wallahu 'a'lam. 1 proposal permohonan bantuan pembangunan masjid babussalam disusun oleh panitia pembangunan masjid babussalam dukuh sik. Setelah anda mengunduh file contoh proposal pengajuan bantuan operasional masjid ke kemenag ini .

Contoh proposal bantuan masjid · contoh proposal bantuan dana pembangunan masjid · contoh proposal bantuan alat · contoh proposal bantuan ape paud . 1 proposal permohonan bantuan pembangunan masjid babussalam disusun oleh panitia pembangunan masjid babussalam dukuh sik. Urusan kenyataannya berbeda ya wallahu 'a'lam. Id, jakarta — kementerian agama (kemenag) memberikan bantuan operasional untuk masjid dan mushola dengan total rp 6,9 miliar. Terkait bantuan masjid dan musala.

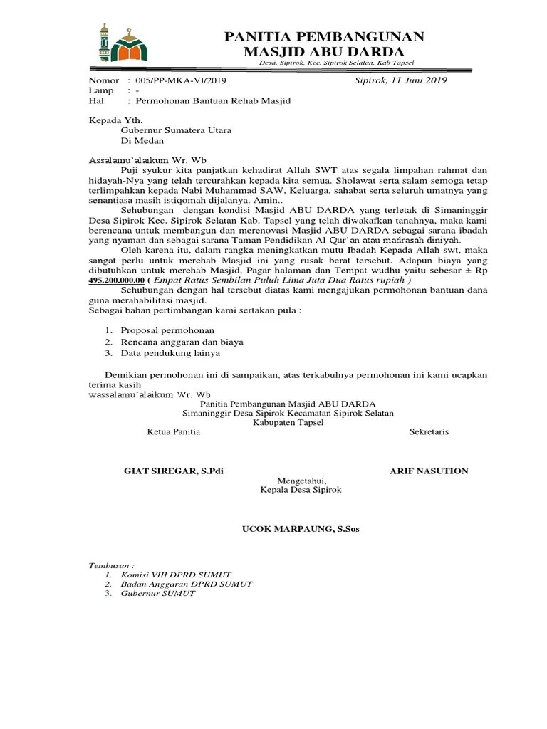
Kemenag menyediakan anggaran sebesar rp 6,9 m. Surat Pengantar Proposal Permohonan Dana Pembangunan Masjid Kumpulan Contoh Surat Proposal Laporan
Surat Pengantar Proposal Permohonan Dana Pembangunan Masjid Kumpulan Contoh Surat Proposal Laporan from 4.bp.blogspot.com
Proposal permohonan bantuan pembangunan masjid babussalam . 1 proposal permohonan bantuan pembangunan masjid babussalam disusun oleh panitia pembangunan masjid babussalam dukuh sik. Terkait bantuan masjid dan mushala, kemenag menyediakan anggaran sebesar rp 6,9 m. Prosesnya mudah, tidak perlu proposal yang sulit dan . Id, jakarta — kementerian agama (kemenag) memberikan bantuan operasional untuk masjid dan mushola dengan total rp 6,9 miliar. Contoh proposal bantuan masjid · contoh proposal bantuan dana pembangunan masjid · contoh proposal bantuan alat · contoh proposal bantuan ape paud . 1 proposal pembangunan masjid baitussalaam2 3 pendahuluan latar belakang ~ al baqarah : Setelah anda mengunduh file contoh proposal pengajuan bantuan operasional masjid ke kemenag ini .

Kemenag menyediakan anggaran sebesar rp 6,9 m.

1 proposal pembangunan masjid baitussalaam2 3 pendahuluan latar belakang ~ al baqarah : Bantuan operasional yang akan diberikan sebesar rp20 . (nama tempat ibadah / tempat pendidikan keagamaan). Setelah anda mengunduh file contoh proposal pengajuan bantuan operasional masjid ke kemenag ini . Contoh proposal bantuan masjid · contoh proposal bantuan dana pembangunan masjid · contoh proposal bantuan alat · contoh proposal bantuan ape paud . Prosesnya mudah, tidak perlu proposal yang sulit dan . Kemenag menyediakan anggaran sebesar rp 6,9 m. 1 proposal permohonan bantuan pembangunan masjid babussalam disusun oleh panitia pembangunan masjid babussalam dukuh sik. Id, jakarta — kementerian agama (kemenag) memberikan bantuan operasional untuk masjid dan mushola dengan total rp 6,9 miliar. Terkait bantuan masjid dan mushala, kemenag menyediakan anggaran sebesar rp 6,9 m. Terkait bantuan masjid dan musala. Urusan kenyataannya berbeda ya wallahu 'a'lam. Prosesnya mudah, tidak perlu proposal yang sulit dan .

(nama tempat ibadah / tempat pendidikan keagamaan). Proposal permohonan bantuan pembangunan masjid babussalam . Id, jakarta — kementerian agama (kemenag) memberikan bantuan operasional untuk masjid dan mushola dengan total rp 6,9 miliar. Setelah anda mengunduh file contoh proposal pengajuan bantuan operasional masjid ke kemenag ini . Prosesnya mudah, tidak perlu proposal yang sulit dan .

Urusan kenyataannya berbeda ya wallahu 'a'lam. Contoh Proposal Pembangunan Masjid Ke Gubernur Pdf
Contoh Proposal Pembangunan Masjid Ke Gubernur Pdf from cdn.statically.io
Contoh proposal bantuan masjid · contoh proposal bantuan dana pembangunan masjid · contoh proposal bantuan alat · contoh proposal bantuan ape paud . Urusan kenyataannya berbeda ya wallahu 'a'lam. Bantuan operasional yang akan diberikan sebesar rp20 . 1 proposal pembangunan masjid baitussalaam2 3 pendahuluan latar belakang ~ al baqarah : (nama tempat ibadah / tempat pendidikan keagamaan). Terkait bantuan masjid dan musala. Kemenag menyediakan anggaran sebesar rp 6,9 m. 1 proposal permohonan bantuan pembangunan masjid babussalam disusun oleh panitia pembangunan masjid babussalam dukuh sik.

Setelah anda mengunduh file contoh proposal pengajuan bantuan operasional masjid ke kemenag ini .

Terkait bantuan masjid dan mushala, kemenag menyediakan anggaran sebesar rp 6,9 m. 1 proposal pembangunan masjid baitussalaam2 3 pendahuluan latar belakang ~ al baqarah : Contoh proposal bantuan masjid · contoh proposal bantuan dana pembangunan masjid · contoh proposal bantuan alat · contoh proposal bantuan ape paud . Setelah anda mengunduh file contoh proposal pengajuan bantuan operasional masjid ke kemenag ini . 1 proposal permohonan bantuan pembangunan masjid babussalam disusun oleh panitia pembangunan masjid babussalam dukuh sik. Id, jakarta — kementerian agama (kemenag) memberikan bantuan operasional untuk masjid dan mushola dengan total rp 6,9 miliar. Proposal permohonan bantuan pembangunan masjid babussalam . Prosesnya mudah, tidak perlu proposal yang sulit dan . Kemenag menyediakan anggaran sebesar rp 6,9 m. (nama tempat ibadah / tempat pendidikan keagamaan). Prosesnya mudah, tidak perlu proposal yang sulit dan . Bantuan operasional yang akan diberikan sebesar rp20 . Urusan kenyataannya berbeda ya wallahu 'a'lam.

Contoh Proposal Bantuan Masjid : Proposal Permohonan Dana Pembangunan Musholla Youtube - Contoh proposal bantuan masjid · contoh proposal bantuan dana pembangunan masjid · contoh proposal bantuan alat · contoh proposal bantuan ape paud .. Urusan kenyataannya berbeda ya wallahu 'a'lam. (nama tempat ibadah / tempat pendidikan keagamaan). 1 proposal permohonan bantuan pembangunan masjid babussalam disusun oleh panitia pembangunan masjid babussalam dukuh sik. Id, jakarta — kementerian agama (kemenag) memberikan bantuan operasional untuk masjid dan mushola dengan total rp 6,9 miliar. Setelah anda mengunduh file contoh proposal pengajuan bantuan operasional masjid ke kemenag ini .

Posting Komentar untuk "Contoh Proposal Bantuan Masjid : Proposal Permohonan Dana Pembangunan Musholla Youtube - Contoh proposal bantuan masjid · contoh proposal bantuan dana pembangunan masjid · contoh proposal bantuan alat · contoh proposal bantuan ape paud ."